SuarIndonesia – Tahukah anda apa yang dimaksud dengan KUR? Untuk anda yang belum tahu, KUR atau Kredit Usaha Rakyat ialah kredit atau pembiayaan modal kerja dengan bunga rendah, yang diberikan pada para debitur usaha yang dinilai produktif serta layak untuk berkembang, namun tidak memiliki agunan yang memadai.
Dan Bank Kalsel adalah salah satu bank yang oleh pemerintah telah diberi kewenangan untuk menyalurkan dana dari program Kredit Usaha Rakyat atau KUR. Pastinya sangat menguntungkan apabila bisa mengajukan KUR ini.
Jika Anda tertarik melakukan pengajuan KUR di Bank Kalsel, langsung saja segera datangi kantor cabang terdekat. Namun, sebelum memutuskan melakukan pengajuan, idealnya anda sudah membaca berbagai informasi berikut ini.

Penerima KUR Bank Kalsel
– Perorangan
– Kelompok
– Koperasi
– Bank Pengkredian Rakyat
– Badan usaha tidak berbadan hukum atau berbadan hukum.
Pembagian Skim Produk Kredit Usaha Rakyat Bank Kalsel
Bank Kalsel menyediakan 2 skema KUR. Yaitu KUR untuk Mikro dan KUR untuk Ritel.
1. KUR Mikro
Pinjaman modal usaha dan investasi yang disalurkan memiliki nominal di bawah Rp25.000.000
Suku Bunga sebesar 9% efektif per tahun.
Jangka waktu kredit sampai dengan 5 tahun untuk investasi dan 3 tahun untuk modal kerja.
Memiliki usaha produktif dan belum bankable yang telah berjalan minimal 6 bulan.
Telah memiliki modal sendiri minimal 10% dari kebutuhan modal
Biaya administrasi sebesar 0,5% dari plafond kredit.
2. KUR Ritel
Pinjaman modal usaha dan invests bagi UMKM memiliki nominal Rp25.000.000 sampai dengan Rp500.000.000.
Suku Bunga sebesar 9% efektif per tahun.
Jangka waktu kredit sampai dengan 5 tahun untuk investasi dan 4 tahun untuk modal kerja.
Memiliki usaha produktif dan belum bankable yang telah berjalan minimal 6 bulan.
Telah memiliki modal sendiri minimal 10% dari kebutuhan modal
Biaya administrasi sebesar 0,5% dari plafond kredit.
Persyaratan Calon Debitur
Mengajukan permohonan kredit secara tertulis yang diketahui dan disetujui oleh istri/suami pemohon.
Melampirkan lembar fotocopy e-KTP (KTP elektronik) pemohon berserta istri/suami dan atau pemilik agunan.
Fotocopy Akta Nikah atau Kartu Keluarga
Fotocopy kartu NPWP (untuk peminjaman diatas Rp 50.000.000)
Agunan sepeti Segel, Sertifikat tanah/rumah, BPKP, dan sebagainya.
Surat keterangan pendirian usaha dari kelurahan.
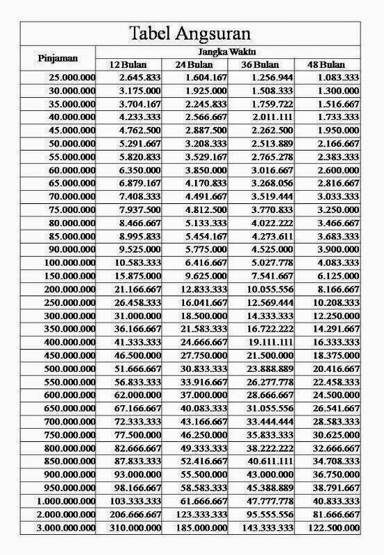
Tabel Angsuran Pinjaman KUR di Bank Kalsel
Itulah di atas ulasan mengenai tabel angsuran pinjaman KUR di bank Kalsel. Setelah Anda membaca detailnya, dan anda tertarik melakukan pengajuan, maka segera datangi salah satu cabang terdekat dari Bank Kalsel ini. Dan jangan lupa, Anda harus sudah membawa berbagai dokumen yang menjadi ketentuan peminjaman.
Oya, sebelumnya, pastikan juga Anda sudah memiliki rekening tabungan di Bank Kalsel karena dana yang anda pinjam akan di transfer ke Rekening Bank Kalsel yang anda miliki. Pastikan sudah dipertimbangkan masak-masak, plafon dan tenor sesuai dengan kemampuan anda membayar, agar tidak sampai mengganggu kelancaran usaha nantinya.
Dan yang pasti, dengan adanya program pinjaman KUR di Bank Kalsel ini, sudah banyak sekali pelaku usaha, baik itu besar atau kecil, yang merasa terbantu dalam membesarkan bisnisnya. Asalkan dipergunakan dengan tepat, maka bisa dibilang program ini sangat menguntungkan serta layak dicoba. (ADV)
Eksplorasi konten lain dari Suar Indonesia
Berlangganan untuk dapatkan pos terbaru lewat email.
















